El nuevo sujeto social del consumo responsable


The New Social Subject of Responsible Consumption


O novo sujeito social do consumo responsável


DOI:https://doi.org/10.32719/25506641.2018.4.5


Estudios de la Gestión: revista internacional de administración, No. 4 (julio-diciembre de 2018), 97-123. ISSN: 2550-6641; e-ISSN: 2661-6531

Fecha de presentación: 13 de abril de 2018 • Fecha de aceptación: 28 de agosto de 2018


Articulo de investigación




About Image

Carlos Izquierdo Maldonado

Universidad Politécnica Salesiana (Quito, Ecuador) cizquierdo@ups.edu.ec


About Image

Iván Vaca Aguirre

Universidad Politécnica Salesiana (Quito, Ecuador) ivacaa@ups.edu.ec


About Image

Rómulo Mena Campar

Universidad Politécnica Salesiana (Quito, Ecuador) rmena@ups.edu.ec


Resumen

El consumismo ha provocado la insostenibilidad del modelo de producción y consumo, cuyos efectos negativos se reflejan en el calentamiento global, contaminación, destrucción del ecosistema y profundización de la paradoja riqueza-pobreza. La ideología consumista constituye el principal instrumento de dominación y reproducción del capitalismo, frente al intrascendente pluralismo epistémico alternativo y la inconsistencia ideológica del paradigma ecológico y economía social y solidaria (ESS); lo cual limita arribar a presupuestos teóricos contestatarios al eurocentrismo, como es el caso del consumo socialmente responsable (CSR).

Palabras clave: Consumismo; ideología consumista; consumo responsable; actitud crítica; perfil del CSR.

JEL: P46 Economía del consumidor; sanidad y población; Q01 Desarrollo sostenible.


Abstract

Consumerism has caused the unsustainability of the production and consumption model, whose negative effects are reflected in global warming, pollution, destruction of the ecosystem and deepening of the wealth-poverty paradox. The consumerist ideology constitutes the main instrument of domination and consolidation of capitalism, as opposed to the inconsequential alternative epistemic pluralism and the ideological inconsistency of the ecological paradigm, and the social and solidarity economy (ESS), which limits arrive to theoretical budgets that are opposed to eurocentrism, as is the case of socially responsible consumption (CSR).

Keywords: Consumerism; consumer idiom; responsible consumption; critical attitude; CSR profile.

JEL: P46 Consumer economics; health and population; Q01 Sustainable development.


Resumo

O consumismo causou a insustentabilidade do modelo de produção e consumo, cujos efeitos negativos se refletem no aquecimento global, na poluição, na destruição do ecossistema e no aprofundamento do paradoxo da pobreza-riqueza. A ideologia consumista constitui o principal instrumento de dominação e reprodução do capitalismo, em oposição à inconsequente pluralidade epistêmica alternativa e à inconsistência ideológica do paradigma ecológico e da economia social e solidária (ESS); que limites chegam a orçamentos teóricos que se opõem ao eurocentrismo, como é o caso do consumo socialmente responsável (RSC).

Palavras-chave: Consumismo; ideologia consumista; consumo responsável; atitude crítica; perfil de RSE.

JEL: P46 Economia do consumidor; saúde e população; Q01 Desenvolvimento sustentável.


Introducción


En el contexto del mercado y la sociedad actual, el consumidor requiere de capacidades y competencias que le permitan mantener una actitud crítica para evaluar el impacto social en el momento de ejercer su decisión de compra y evitar el consumismo como consecuencia del marketing y la publicidad, que buscan crear en la mente del consumidor nuevas necesidades y actitudes compulsivas de una adquisición insaciable.

De esta manera, el consumismo se convierte en un factor ideológico de legitimación y dominación del sistema capitalista imperante, en su lógica de acumulación y reproducción del capital, sin reparar en la profundización de los efectos negativos que ocasiona en la sociedad y en el ecosistema.

Por otra parte, resulta infructuoso el rol gubernamental de monitorear el cumplimiento de las leyes de defensa de los derechos del consumidor, al igual que la poca injerencia de los gremios de defensa del consumidor, como también el limitado impacto de la educación en la concientización y capacitación de un consumo responsable.

Ante esta situación descrita se formula la siguiente interrogante: ¿por qué la mayoría de consumidores no son conscientes del impacto social y ambiental que significa el consumo socialmente responsable? Una posible respuesta a esta problemática es que la falta de capacidades y competencias del consumidor impide una actitud crítica para que valore el impacto social y ambiental del consumo, contribuyendo a que los diferentes mecanismos y medios publicitarios utilizados por el capitalismo globalizado condicionen en la mente del consumidor una actitud consumista.


Justificación


Si bien se cuenta con investigaciones y ciertos resultados parciales acerca de la cuantificación del consumo responsable, no se dispone del perfil del consumidor socialmente responsable que determine su actitud crítica para ejercer su decisión para optar por un consumo responsable (Cadavid Castro 2017; EAE Business School 2016; Havas Worldwide 2016). El cambio de los patrones de consumo implica modificar primero los atributos o competencias que definen el perfil del consumidor socialmente responsable (Ferreira 2015); no obstante, al momento no se cuenta con una concepción unificada y completa del perfil del consumidor socialmente responsable (Corresponsables 2011; GDS Modellica 2013; Jiménez 2008). En tal sentido, la presente investigación pretende caracterizar el perfil por competencias del nuevo sujeto social del consumo responsable (Pérez 2016), en atención a sus características de criticidad y elección consciente de los bienes y servicios, a fin de provocar el impacto deseado del consumo en el medioambiente y en la sociedad en general; cualidades estas que le permitirán cumplir con su rol de agente estratégico del desarrollo sostenible (Jiménez 2008).

La economía social y solidaria se encuentra en proceso de construcción teórica, por tanto, es imperativo y pertinente para las organizaciones sociales y la academia en particular, arribar a una concepción teórica del nuevo sujeto social del consumo responsable, como un instrumento que viabilice la consecución de los objetivos y finalidades del desarrollo sostenible en general, particularmente la reducción de la desigualdad social y la degradación del medioambiente.


Ideología consumista, sostén del capitalismo globalizado


La ideología del consumismo constituye el principal instrumento de dependencia y dominación del capitalismo globalizado (Fernández 2015; Belenguer 2013), cuya función de acumulación y reproducción del capital se sustenta en la creación de necesidades superfluas del consumidor.

La publicidad constituye la herramienta más poderosa de transmisión de la ideología consumista/capitalista. La opinión sobre cualquier hecho, circunstancia o producto se forma a través de la percepción, y así creamos nuestra verdad o realidad (García de Miguel 2013). La percepción o actitud se forma por la interacción de un conjunto de factores tales como: gustos, preferencias, hábitos, cultura, sistema de valores, estilo de vida, entre otros. Nuestra opinión se induce por lo que leemos, escuchamos o vemos en los periódicos, las revistas, la radio, el cine y la televisión. Todos somos receptores, como tales estamos expuestos al juego de las percepciones. Por tanto, la función de la publicidad es moldear las percepciones del consumidor. Si un producto es percibido como símbolo de libertad (Marlboro) será adquirido, no obstante que resulte cancerígeno, ya que el mensaje publicitario, antes que transmitir las bondades del producto, transmite códigos simbólicos y culturales que inducen el deseo insaciable del consumo (Montero 2002).

Una vez que los consumidores aprehenden e interiorizan los valores y códigos simbólicos difundidos a través de la publicidad, pasan a ser elementos plenamente integrados, alineados en el sistema consumista-capitalista (Honrubia 2014).

A decir de Rizzardini (1997), la publicidad es la respiración de la sociedad consumista-capitalista que condena al propio consumidor a depender de un consumo compulsivo, en respuesta a los estímulos de un conjunto de valores y códigos simbólicos inculcados por la publicidad consumista, para legitimar de esta manera la vigencia del sistema capitalista. Al respecto, Lucerga (2010) manifiesta que la publicidad del consumismo oculta la realidad del proceso de acumulación del capital, mismo que es edificado sobre el sufrimiento humano y la degradación del medioambiente, pues la publicidad engañosa ha engendrado en la mente del consumidor el deseo permanente de renovación en la construcción de su propia identidad individualista.

El consumidor no compra objetos solamente, como pudiera parecer a simple vista, porque satisfacen alguna necesidad vital, sino porque el sistema lo convence de ello. Los objetos no cumplen solo el papel de suplir una función biológica, sino que están insertos en un sistema de valores y de distinciones que hacen de él un elemento cada vez más sujetador y portador de diferencias y reconocimientos sociales. El prestigio, la posición, la distinción y el estatus serán definitivos en esta ideología y constituyen una fuerza capaz de mantener activo el aparato productivo y la acumulación de riqueza. El papel que juegan los objetos en el inconsciente humano, y que es clave para entender por qué el frenesí y el ansia psíquica cada vez más fuerte por ellos, es de mantener al consumidor en su posición de privilegio, de ostentación y de poder. El cliente es portador del virus del consumismo (Panesso 2009).

La ideología del consumismo ha logrado reducir al ciudadano a la categoría de consumidor sumiso, sujeto individualista, egoísta, desarraigado de la comunidad, sin compromiso social, insatisfecho y frustrado; una ciudadanía des-ciudadanizada (Fernández 2015).


La epistemología occidental como instrumento de legitimación del sistema capitalista y el consumismo


El paradigma positivista que sustenta el sistema capitalista se fundamenta en la visión racional, mecanicista y simplificada de la ciencia, en su afán de dominar las leyes de la naturaleza y la explotación de los recursos naturales y humanos, a fin de alcanzar el fin último de maximizar la tasa de ganancia del capital, sin reparar en las consecuencias nefastas de la destrucción del ecosistema y las condiciones de pobreza y marginalidad de la mayoría de la población, excluida de los beneficios del desarrollo.

El positivismo es la corriente filosófica creada por el francés Augusto Comte (1798-1857) según la cual las ciencias positivas nos permiten conocer con objetividad los hechos, por medio de las leyes que estas descubren, en la generación del conocimiento científico (Escobar 2014).

En 1630, René Descartes concibe el paradigma cartesiano en la sabiduría racional, la comprensión y dominio del orden natural, al considerar al universo como un sistema mecánico compuesto de piezas, las del cuerpo humano como una máquina, y las de la vida en sociedad como una lucha competitiva por la existencia y la creencia en el progreso material ilimitado, a través del crecimiento económico y tecnológico (Moulines 1979).

El sistema capitalista como tal se consolida en el período de la modernización con el advenimiento de la Revolución Industrial (siglos XVII y XVIII) y la concepción del paradigma cartesiano de la ciencia moderna centrada en la razón y la simplicidad del conocimiento causal de Newton.


Alternativas epistemológicas para el sustento de un consumo socialmente responsable


A propósito de los problemas ambientales de destrucción de los recursos naturales, contaminación y calentamiento global, la comunidad internacional, bajo el liderazgo de la Organización de Naciones Unidades y la presencia de movimientos ecologistas, está tomando conciencia de la insostenibilidad del actual sistema de producción y consumo.

Ante esta preocupación, un sector significativo de economía de mercado viene desarrollando ciertas iniciativas de responsabilidad social empresarial y la aplicación de estrategias de marketing ecológico, con fines de mejorar su imagen competitiva amigable con el medioambiente, sin renunciar la naturaleza del modelo neoliberal, de acumulación y concentración del capital. Estas estrategias capitalistas de remediación ambiental se contraponen con la necesidad de viabilizar un modelo de desarrollo sostenible, centrado en la socialización de los beneficios del desarrollo y la preservación del medioambiente. Si bien las exigencias de un nuevo consumidor, más informado, preocupado por su salud y mejorar su apariencia personal, están consiguiendo que el mercado provea productos más limpios, la globalización tecnológica del sistema capitalista se traduce en una mayor acumulación y concentración del capital, deterioro ambiental y profundización de las desigualdades sociales (Caetano y Armas 2015; López-Zuriaga 2014; Candelas 2013).

El consumo socialmente responsable, como elemento estratégico del desarrollo sostenible, se sustenta en un conjunto de alternativas epistemológicas contestatarias al eurocentrismo. Consecuentemente, la alternativa de sustituir el consumismo por el consumo socialmente responsable, implica tomar de referencia los criterios y fines de las corrientes epistemológicas alternativas al capitalismo, como la teoría crítica, la epistemología del sur, el paradigma ecológico, entre las más importantes.


Epistemología del sur


Boaventura de Sousa Santos (2010), a lo largo de su producción académica, cuestiona la validez universal de la epistemología occidental, sesgada por la no incorporación sistémica de la periferia, cuyas acciones colonizadoras, modernizantes y globalizantes reflejan la dualidad de un sistema económico concentrador, injusto y excluyente. El autor, a partir de la descolonización del saber, las ausencias y emergencias y la ecología de los saberes, propone la epistemología del sur para romper con la hegemonía de la modernidad del eurocentrismo. Un saber construido desde la perspectiva emancipadora, liberadora y humana, a partir del reconocimiento y la incorporación de las prácticas políticas, culturales y económicas de los pueblos indígenas, afroamericanos y caribeños. El ocaso de la civilización no muere con occidente, sino que renace desde el sur con el Sumak Kawsay (Aragón 2011).


Paradigma ecológico


El paradigma ecológico es coherente con los descubrimientos del siglo XX, que socavaron los pilares de la mecánica newtoniana y el paradigma cartesiano como un modelo cerrado y lineal. Descubrimientos de la física cuántica, la teoría de la relatividad y las matemáticas de la complejidad constituyen la vanguardia científica de un cambio de paradigma necesario para restablecer los vínculos entre el hombre y la naturaleza (López 2010).

El paradigma ecológico se desprende del concepto de sistemas abiertos, naturales y sociales que caracterizan la complejidad de la realidad. La teoría general de sistemas proporciona la formulación científica más apropiada del paradigma ecológico. Los sistemas naturales son totalidades cuyas características surgen de las interacciones y la interdependencia de sus partes. La economía es un sistema vivo compuesto por seres humanos y organizaciones sociales en continua interacción con los sistemas ambientales, de los que nuestras vidas dependen. La ecología profunda hace parte del nuevo paradigma, de una visión holística del mundo, en la que se pasa de la concepción del universo como máquina, a verlo como una red de relaciones, lo que implica un pensamiento sistémico para su comprensión. Se pasa de una perspectiva mecanicista de Descartes y Newton a una visión ecológica holística (Fritjof 1991).


Ideología del consumo socialmente responsable


La economía social y solidaria se define por las nuevas prácticas basadas en valores de solidaridad y democracia participativa, nuevas formas de producir, distribuir y consumir, que avanzan en la construcción de otra economía como proyecto político de transformación social. Una forma de economía centrada en la valorización del ser humano y no en la maximización del lucro; en la reproducción de la vida y no del capital, constituyendo el consumo responsable un elemento estratégico del modelo (Schmalko 2016).

Se pretende contribuir al desarrollo de una economía social y solidaria, regida por los valores de la cooperación, democracia, ciudadanía global, igualdad, solidaridad y medioambiente, donde las relaciones comerciales se apoyan en los principios y valores del comercio justo de un mercado social y de una economía global y solidaria, en línea con los Objetivos de Desarrollo Sostenibles (Latorre 2018).

Como consumidores debemos exigir al mercado las garantías que nos permitan ejercer nuestro derecho de consumir con libertad y responsabilidad y de apropiar una actitud crítica; tenemos la responsabilidad y el poder de cambiar el condicionamiento inducido por los medios de comunicación social. Queremos un mundo en el que el desarrollo se base en la sostenibilidad económica, social y medioambiental. Para que esto ocurra, el consumidor socialmente responsable tiene que contar con la información que le permita elegir productos y servicios que no solo sean acordes a sus necesidades y a su economía, sino que, además, a lo largo de toda su cadena de valor, se hayan producido de forma ética y sostenible (Confederación de Consumidores y Usuarios de España –CECU– 2013).

Por consumo socialmente responsable (CSR) se va a entender la elección de los productos y servicios no solo en base a su calidad y precio, sino también por su impacto ambiental y social, y por la conducta de las empresas que los elaboran. El principio fundamental es que todos somos corresponsables, con nuestra compra, de los impactos sociales y ambientales de la producción; lo cual implica consumir menos, elegir solo lo necesario, y estar atentos a cómo nos influye la publicidad en la creación de necesidades superfluas (ECODES 2016).

Los seres humanos debemos cambiar nuestros hábitos de consumo ajustándolos a nuestras necesidades reales y a las del planeta, y escogiendo opciones que favorezcan el medioambiente y la igualdad social (Fundación Vivo Sano 2016).


Modelo de la acción razonada: valores-actitudes-conducta


La psicología social concibe al consumo como un proceso integrado por tres fases: perfil del consumidor, actitud crítica y decisión de consumo. A su vez, la actitud crítica como predisposición positiva, negativa o indiferente comporta tres componentes interrelacionados entre sí: cognitivo, afectivo y conativo (Briñol, Falces y Becerra 2007; Bentler 1979).

Figura 1
Fases del consumo
icon

Fuente: adaptado de Morales y otros (1999).
Elaboración propia.

El modelo de la acción razonada desarrollado por Martín Fishbein e Icek Ajzen en 1967, concibe al ser humano como un animal racional que procesa la información y la utiliza sistemáticamente; es así cómo se vislumbra al sujeto como un tomador racional de decisiones, el cual se comporta en función de la valoración que realiza de los resultados de su comportamiento y de las expectativas que tiene sobre su comportamiento en relación a obtener determinados resultados (Sida-Aids Org. 2006; Becker y otros 2010).

El trabajo de investigación del comportamiento socialmente responsable en estudiantes universitarios chilenos, muestra una relación positiva muy significativa entre valores, actitudes y comportamiento socialmente responsables (Gracia y otros 2012). La aplicación de la teoría de la acción razonada al ámbito emprendedor a estudiantes de la Universidad de Cantabria, revela cómo la ventaja del emprendimiento (valores) influyen en la actitud del universitario, y esta, a su vez, en su intención emprendedora (Rueda y otros 2013).


Actitudes y valores


Las actitudes son predisposiciones estables o formas habituales de pensar, sentir y actuar en consonancia con nuestros valores. Son, por tanto, consecuencia de nuestras convicciones o creencias más firmes y razonadas de que algo vale y da sentido y contenido a nuestra vida. Constituyen el sistema fundamental por el que orientamos y definimos nuestras relaciones y conductas con el medio en que vivimos. Para la formación de actitudes, el primer paso que hemos de dar los educadores es despertar deseos en el educando para que sea constante en realizar la acción o conducta pertinente durante el tiempo necesario, hasta que los actos se conviertan en disposiciones, las disposiciones en hábitos y los hábitos en actitudes. Existe una relación bidireccional entre valores y actitudes, con una tendencia causal marcada: valores-actitudes. Las actitudes dependen de los valores, al reflejar la actitud los valores más relevantes (Rivero 2018).

La interacción de valores en la formación de actitudes demuestra la validez de esta estrategia educativa, como referencian los resultados alcanzados del proyecto “Percepciones sociales ambientales: valores y actitudes hacia la reserva de Biósferas Parque Atlántico Mar Chiquita” en Argentina (Bertoni y López 2010).

A decir de ACNUR (2017), el consumo responsable genera mayor conciencia de nuestro rol como consumidores y nos ayuda a priorizar e identificar las necesidades reales que tenemos como ciudadanos y personas. Es sobre todo un estilo de vida, una forma de entender nuestro papel en la sociedad y de contribuir a la construcción de un mundo más justo y solidario, producto de un conjunto de actitudes y valores como la solidaridad, cooperación, justicia, respeto por los derechos de las personas y, por supuesto, el cuidado del medioambiente.

Desde la vertiente capitalista se vienen desarrollando estrategias de marketing ecológico, con la finalidad de captar al segmento de consumidores identificado con un consumo responsable, que se preocupa por su salud, principalmente.


El consumo responsable y sostenible, pilar del marketing verde


Las actitudes, creencias y valores del consumidor preocupado por el medioambiente influyen en su comportamiento y decisión de compra final. El marketing verde persigue que esas actitudes, creencias y valores se traduzcan en la compra de productos o servicios favorables para el medioambiente (García 2018).

El consumo responsable (CSR) y su medición mejoran la comprensión sobre el comportamiento del consumidor. Genera posibles acciones de cambio y educación sobre los factores medioambientales y sociales que afectan las decisiones de consumo de los individuos que se sienten o no responsables por las comunidades, las sociedades y el planeta en el que viven, y la vez sirve como un punto de referencia para la reflexión de gerentes y empresarios con respecto a las diversas formas en las que ofrecen sus productos y servicios (Dueñas, Perdomo Ortiz y Villa Castaño 2014).


Un nuevo consumidor crítico, responsable y solidario


Esta realidad impulsa un modelo de producción y consumo responsable que afecta a toda la cadena de valor e introduce desafíos en la formación del ciudadano, en el liderazgo e innovación empresarial y en el trabajo coordinado de compañías y administraciones para maximizar la relación entre el retorno empresarial y la sostenibilidad social y ambiental (Franco 2018).

En general, el perfil del consumidor se estructura en la visión del marketing convencional en consideración a los factores determinantes del comportamiento del consumidor como: precio, calidad, diferenciación y emociones; se ve condicionado por las personas que le rodean, su sistema cultural, la información que recibe, su satisfacción o frustración personal y empoderamiento cognitivo (Palafox, Elizalde y Espejel 2015).

No cabe duda de que en los próximos veinte años, en la óptica capitalista, vamos a presenciar una auténtica revolución en cuanto a la manera en que un consumidor compra y es seducido por las marcas, cuyo perfil estaría caracterizado por los siguientes atributos: preocupado por su salud y su apariencia personal, informado, exigente, conectado, ecológico, sofisticado, con mayor nivel de formación y valor a las empresas con una responsabilidad social reconocida (Bonet 2017).

El perfil del CSR, en la visión de las epistemologías alternativas al capitalismo y la economía social y solidaria (ESS), es un tema que empieza a ser analizado por el comercio justo (Sampedro 2005) y la academia, principalmente, como es el caso de estudio del perfil del consumidor responsable de la Universidad de Sonora-México (Palafox, Elizalde y Espejel 2015) y del consumo socialmente responsable, su medición y perfil (Dueñas, Perdomo Ortiz y Villa Castaño 2014).


Metodología


El tipo de investigación es de carácter explicativo, busca ser coherente con el enfoque epistemológico alternativo al capitalismo globalizado, centrado en la epistemología del sur y el paradigma ecológico, principalmente; se adopta en forma combinada la metodología cuantitativa y cualitativa, consecuente con el enfoque sistémico y holístico de concebir el conocimiento, hacia la construcción de un modelo de desarrollo sostenible y de economía social y solidaria, en la cual el consumo socialmente responsable es un elemento estratégico del sistema.

Para el diseño de la investigación del caso de estudio del consumo responsable en la ciudad de Quito, se aplicó la metodología mixta: cuantitativa para la definición de la población, muestra y técnicas de recolección, tabulación y análisis de datos, combinada con resultados cualitativos y de naturaleza grupal, principalmente.

El estudio de caso se centra en los estratos socioeconómicos de ingresos altos, medios altos, medios y medios bajos de la ciudad de Quito, que son los que tienen la capacidad para elegir los bienes de consumo en función del precio, calidad y beneficios sociales y ambientales.

El número de hogares para estos segmentos seleccionados en la ciudad de Quito para el año 2017 es de 644.747, con un tamaño de muestra estratificada de 384. A estos hogares se aplicó una encuesta para diagnosticar el consumo responsable de la población de la ciudad de Quito en el rubro de alimentos procesados. Los métodos de observación, análisis y síntesis se aplicaron en forma combinada, con técnicas de entrevistas y aplicación de la encuesta en forma directa, por vía telefónica y mediante correo electrónico.


Técnicas e instrumentos de recolección de datos


La hipótesis y la operacionalización de las variables del caso de estudio especifican la información a recoger:

  • Guía de investigación para recoger datos e informaciones de orden cualitativo.
  • Guía de sistematización de datos e informaciones bibliográficas.
  • Formato de encuesta a consumidores del segmento seleccionado.
  • Formato de encuesta a especialistas para validación de resultados.

Los datos recogidos fueron tabulados en cuadros de entrada y salida, según las referencias e indicadores del modelo, con la aplicación del software estadístico SPSS. Asimismo, se aplicó este software estadístico para la prueba de hipótesis y el software de regresión y correlación de Excel.


Validación de la propuesta y socialización de resultados


El borrador de la propuesta de investigación, fundamentada en la sistematización bibliográfica y en los datos empíricos del caso de estudio del consumo responsable de la ciudad de Quito de la presente investigación, fue puesto a consideración del grupo de especialistas seleccionados del sector público y privado, a fin de recibir las observaciones que permitan validar tales resultados. Seguidamente, se socializaron dichos resultados en las jornadas de presentación de proyectos de investigación en la Universidad Politécnica Salesiana (UPS).

Para el trabajo de validación de resultados se formuló la siguiente hipótesis estadística: la actitud crítica del consumidor en la visión de la economía social y solidaria determina un consumo socialmente responsable.


Prueba de hipótesis del consumo socialmente responsable


  • La actitud crítica del consumidor en la visión de la economía social y solidaria determina un consumo socialmente responsable.
    Variables independientes:
  • Actitud crítica del consumidor socialmente responsable en la visión de la economía social y solidaria (ACSR).
  • Conocimiento del consumo socialmente responsable en la visión de la economía social y solidaria (CCSR).
    Variable dependiente:
  • Consumo socialmente responsable de productos alimenticios procesados (CSR).

Datos de las variables independientes y dependientes


Tabla 1
Datos del CSR = (f) (ACCSR, CCSR)

Niveles CCSR ACCSR PCSR
Bajo 99 104 96
Bajo medio 70 77 124
Medio 68 47 42
Medio alto 39 42 35
Alto 11 11 31
Total 287 281 328

Fuente: estudio de campo.
Elaboración propia.

Donde:
CSR es el consumo socialmente responsable de productos alimenticios procesados.
ACCSR es la actitud crítica del consumidor socialmente responsable en la visión de la ESS.
CCSR es el conocimiento del consumo socialmente responsable en la visión de la ESS.
PCSR es el perfil del consumidor socialmente responsable.

Figura 2
Función de regresión del CSR
icon

Fuente: estudio de campo.
Elaboración propia

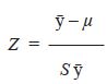
icon

Donde:
Z: Error muestral expresado en desviaciones típicas
ȳ: Media de la muestra: 2,02
μ: Media de la población
Sȳ: Error típico o desviación estándar: 1,42
Intervalo de confianza para estimar (μ)

icon
icon

icon Por tanto, se aprueba la hipótesis.

La investigación de campo confirma la hipótesis: la población de la ciudad de Quito, de los estratos socioeconómicos alto a medio bajo, con una pobre actitud crítica, preocupada por su salud y apariencia personal, registra un consumo responsable menor al 18%.

Figura 3
Pirámide del consumo socialmente responsable
icon

Fuente: estudio de campo.
Elaboración propia.

A partir de las premisas filosóficas alternativas al capitalismo globalizado de la epistemología del sur de Boaventura de Sousa Santos (2010) y del paradigma ecológico de Fritjof (1991), principalmente, como de la teoría de la acción razonada de Fishbein, de la psicología social, de la acción recíproca valores-actitudes-conducta, expuesta en el marco teórico, se plantea una propuesta del modelo de la pirámide del consumidor socialmente responsable (CSR).

La pirámide del consumidor socialmente responsable (figura 3) instrumenta los valores sociales y éticos de una actitud crítica de consumo responsable para el desarrollo sostenible. Actitud crítica capaz de neutralizar la publicidad consumista, de cuya efectividad depende el éxito o fracaso del proceso de acumulación del capital.

Para que el consumidor alcance la condición de agente estratégico del desarrollo sostenible, es necesario cambiar su actitud consumista por una actitud crítica de consumidor socialmente responsable, que le permita reconocer y ejercer el poder que tiene en sus manos para cambiar la situación de injusticia, pobreza y destrucción del ecosistema, por un nuevo modelo de desarrollo sostenible, que privilegie el bienestar del ser humano y la sustentabilidad ambiental al reconocer el impacto social y ambiental que tiene el consumo responsable; para condicionar, con la decisión de compra, la aplicación de procesos ecológicos de producción, el trato justo al trabajador y el mejoramiento de las condiciones de vida de la sociedad en general.

Cambiar la actitud del consumidor implica reducir el consumismo e implantar una actitud crítica de consumidor responsable, como resultado de inculcar un conjunto de valores que impulsen y direccionen al individuo a cumplir con su responsabilidad social. Valores sociales y ambientales tales como: la honestidad, solidaridad, responsabilidad, cooperación, ayuda mutua, conciencia del impacto del consumo en el medioambiente y equidad social. Esta nueva actitud crítica del consumidor, fortalecida con valores éticos y ambientales, permitirá neutralizar la acción alienante del marketing y proceder de acuerdo a la escala de valores apropiados por el individuo a ejercer un consumo socialmente responsable.

Figura 4
Modelo del consumidor socialmente responsable (CSR)
icon

Elaboración propia.

En base a la aplicación de la teoría de la acción razonada de Fishbein, se propone el modelo del consumidor socialmente responsable (figura 4). La apropiación de conocimientos y valores sociales y ambientales permitirá al consumidor adoptar una actitud cognitiva (percepciones y creencias) y una actitud afectiva (sentimientos favorables o desfavorables). El influjo de la actitud cognitiva y afectiva conlleva la conformación de una actitud crítica de CSR. Esta, unida a la información y la capacidad económica, faculta al consumidor ejercer el CSR.

La figura 5 sintetiza el conjunto de valores sociales y ambientales recogidos en el material consultado y en el estudio de caso del consumo responsable de la ciudad de Quito.

Figura 5
Valores sociales y ambientales en la formación
de una actitud crítica del CSR

icon

Elaboración propia.


Perfil del consumidor socialmente responsable (PCSR)


En base a la bibliografía consultada, la información recogida del estudio de caso y la validación de los resultados por parte del grupo de especialistas sobre el tema del consumo responsable, se concibe una propuesta de perfil del consumidor socialmente responsable y el conjunto de características que lo definen.

El CSR es un individuo poseedor de un conjunto de elementos que definen una actitud crítica de consumo responsable, capaz de neutralizar los embates del consumismo y elegir con criterio ético y ambiental los bienes y servicios producidos bajo normas de calidad, aplicación de procesos ecológicos, respeto de los derechos del trabajador y responsabilidad social en general, cuyas características se presentan en la tabla 2.

Tabla 2
Perfil del Consumidor Socialmente Responsable (CSR)

• Consumidor del estrato de ingresos medios bajos a altos.
• Consumidor más exigente e informado.
• Preocupado por su salud y la apariencia personal.
• Actitud innovadora.
• Conocimiento crítico del impacto social y ambiental del consumo.
• Interés por las condiciones de origen del producto.
• Controla los efectos negativos de la comunicación y publicidad.
• Valora las empresas con responsabilidad social reconocida.
• Demanda productos saludables, limpios y ambientalmente sostenibles.
• Dispuesto a pagar un mayor precio por los productos ecológicos y orgánicos.
• Consume lo necesario, reutiliza y recicla.
• Gestiona responsablemente el agua, energía y residuos.
• Consciente, solidario y comprometido con las causas sociales y ambientales.

Elaboración propia.


Discusión de resultados


La propuesta de construcción del modelo holístico del consumo socialmente responsable es una actitud crítica sustentada por un conjunto de valores sociales y ambientales. La propuesta de construcción del perfil del nuevo sujeto social del consumo responsable, como factor ideológico de la ESS y agente estratégico del desarrollo sostenible, constituye el hallazgo más significativo de la presente investigación, con la prueba de hipótesis y la validación de los resultados por parte del grupo de especialistas.

La propuesta se alinea con las alternativas epistemológicas contestatarias al capitalismo, como la epistemología del sur y el paradigma ecológico, al concebir el cambio de una actitud consumista por una actitud crítica de un consumidor socialmente responsable, que le permita neutralizar los embates del marketing convencional y elegir los bienes y servicios con criterio ético y ambiental, en ejercicio del poder de compra que tiene el consumidor, para condicionar a la empresa, la aplicación de procesos ecológicos de producción, el respeto de los derechos del trabajador y el cumplimiento de la responsabilidad social en general.

Bajo las epistemologías alternativas al capitalismo, el perfil del CSR se aparta de la ideología consumista del marketing convencional y se alinea a los principios de la ESS y paradigma ecológico.

Ejercer el poder del consumidor significa extirpar el virus del consumismo e implantar el chip de un CSR, en base a la conformación de una actitud crítica sustentada y direccionada por el conjunto de valores éticos y ambientales, tales como la: solidaridad, responsabilidad, cooperación, ayuda mutua, impacto social y ambiental del consumo, como uno de los instrumentos más poderosos para corregir las desigualdades sociales y la recuperación del equilibrio ecológico.

Conclusiones


La ideología consumista constituye el principal instrumento de legitimación y dominación del sistema capitalista, en su lógica de acumulación y reproducción del capital. Diferentes investigaciones recogidas en este estudio revelan que el consumismo ha provocado la insostenibilidad del modelo de producción y consumo, cuyos efectos negativos se reflejan en el calentamiento global, la contaminación, la destrucción del ecosistema y la profundización de la paradoja riqueza-pobreza.

El impacto de la publicidad consumista se refleja en el reducido porcentaje de población que practica en forma parcial un consumo responsable con fines de salud y mejoramiento de la apariencia personal, principalmente.

El pluralismo filosófico alternativo al eurocentrismo se refleja en la inconsistencia ideológica de la ESS, todo desde una concepción reformista de tercer sector del capitalismo hasta una concepción de sustitución del sistema capitalista.

Se viene construyendo una versión de consumo responsable en la lógica consumista, en tanto que en la visión de la ESS la concepción de CSR se encuentra en proceso de construcción, al igual que el CSR como un elemento estratégico de su ideología.

A partir de la sistematización bibliográfica y el análisis de los datos empíricos del caso de estudio del consumo responsable en la ciudad de Quito, se propone el modelo del consumidor socialmente responsable y de su perfil, del proceso de interrelación entre valores sociales y ambientales –actitud crítica– del CSR. Este cambio de actitud, en base a la apropiación de valores sociales y ambientales, significa extirpar el virus del consumismo e implantar el chip de un CSR.

Referencias


ACNUR. 2017. “Principios, valores y prácticas del consumo responsable”. Consulta: marzo de 2017. https://eacnur.org/blog/principios–valores–y–practicas–del–consumo–responsable/

Aragón, Orlando. 2011. “Una epistemología del sur: la reinvención del conocimiento y la emancipación social”. Alteridades 21, No. 41: 181-184.

Becker, Connie L., y otros. 2010. The Effect of Audit Quality on Earnings Management. Wiley Digital Archives. Consulta: marzo de 2017. https://onlinelibrary.wiley.com/doi/abs/10.1111/j.1911–3846.1998.tb00547.x

Belenguer, Adria. 2013. “En 2050 el modelo de desarrollo actual será insostenible. ¿Hay alternativas?”. Consulta: abril de 2018. http://www.unitedexplanations.org/2013/03/21/en–2050–el–modelo–de–desarrollo–actual–sera–insostenible–hay–alternativas/

Bentler, Peter. 1979. “Models of Attitude–Behavior Relations”. Psychological Review 86, No. 5: 452-464.

Bertoni, Marcela, y María José López. 2010. “Percepciones sociales ambientales: valores y actitudes hacia la reserva de Biósfera, Parque Atlántico Mar Chiquita”. Estudios y Perspectivas en Turismo 19, No. 5: 835-849.

Briñol, Pablo, Carlos Falces y Alberto Becerra. 2007. “Actitudes”. En Miguel Moya y otros, coords., Psicología social, 457-490. Madrid: McGraw-Hill.

Bonet, Ángel. 2017. “El perfil del nuevo consumidor”. Consulta: julio de 2017. http://www.angelbonet.com/2011/11/el–perfil–del–nuevo–consumidor/

Caetano, Gerard, y Gustavo Armas. 2015. “Pobreza y desigualdad en América Latina”. Consulta: julio de 2017. http://blogs.elpais.com/contrapuntos/2015/03/pobreza–y–desigualdad–en–america–latina–1980–2014.html

Cadavid Castro, Martha Alicia. 2017. “Consumo responsable: ¿elección individual o colectiva?”. Consulta: abril de 2018. http://www.nutricionpublica.org/inicio/index.php/opinion/340–consumo–responsable–eleccion–individual–o–colectiva

Candelas, Miguel. 2013. “La brecha digital: fractura de la globalización”. Consulta: febrero de 2018. https://politicacritica.com/2013/04/01/la–brecha–digital–nuevo–cleavage–de–la–globalizacion/

Confederación de Consumidores y Usuarios de España (CECU). 2013. “Consumo responsable y responsabilidad en el consumidor”. Consulta: febrero de 2018. https://www.nuevatribuna.es/articulo/consumo/consumo–responsable–y–responsabilidad–consumidor/20131008170728097145.amp.html

Corresponsables. 2011. “El perfil del consumidor ecológico”. Consulta: febrero de 2018.http://www.corresponsables.com/actualidad/el–perfil–del–consumidor–ecológico

De Sousa Santos, Boaventura. 2010. “Epistemología del sur”. Revista Mexicana de Sociología 72, No. 1: 177-179.

Dueñas, Sebastián, Jesús Perdomo Ortiz y Lida Villa Castaño. 2014. “El concepto de consumo socialmente responsable y su medición: una revisión de la literatura”. Estudios Gerenciales 30, No. 132: 287-300.

EAE Business School. 2016. ¿Cuál es el perfil del consumidor de los próximos años? Consulta: febrero de 2018. http://www.eaeprogramas.es/blog/cual–es–el–perfil–del–consumidor–de–los–proximos–anos

ECODES. 2016. “Qué es: criterios para un consumo responsable”. Consulta: enero de 2018. https://ecodes.org/actua–en–consumo–responsable/criterios–para–un–consumo–responsable#.WwoXXkgvzIV

Escobar, Gustavo. 2014. Filosofía: serie integral por competencias. Ciudad de México: Grupo Editorial Patria.

Fernández, Rodrigo. 2015. “Interpelar la ideología del consumismo: reflexiones y debates”. Idelcoop, No. 216: 27-45.

Ferreira, Graciela. 2015. “Cambio de actitudes de los consumidores: un camino hacia el afianzamiento del consumo responsable”. Consulta: mayo de 2017. http://www.academia.edu/3715832/Cambio_de_actitudes_de_los_consumidores_un_camino_hacia_el_afianzamiento_del_consumo_responsable

Franco, Teresa. 2018. “Un nuevo consumidor crítico, responsable y solidario”. Consulta: enero de 2018. https://www.diarioinformacion.com/responsabilidad–social–corporativa/2018/03/06/nuevo–consumidor–critico–responsable–solidario/1995761.html

Fritjof, Capra. 1991. “El nuevo paradigma ecológico”. Nueva conciencia, No. 22: 28-31.

Fundación Vivo Sano. 2016. “¿Qué es el consumo responsable?”. Fundación Vivo Sano. Consulta: noviembre de 2017. http://www.vivosano.org/que–es–el–consumo–responsable/

García, Daniel. 2018. “El consumo responsable y sostenible, pilar del marketing verde”. Consulta: abril de 2018. https://www.ealde.es/consumo–sostenible–marketing–verde/

GDS Modellica. 2013. “El nuevo perfil del consumidor”. GDS Link. Consulta: noviembre de 2017. https://www.gdslink.com/es/el–nuevo–perfil–del–consumidor/

Gracia Navarro, J., y otros. 2012. “Valores y actitudes socialmente responsables en universitarios chilenos”. Calidad en la Educación, No. 36: 123-147.

Havas Worldwide. 2016. “Las 10 realidades del consumidor socialmente responsable”. Consulta: abril de 2018. https://www.reasonwhy.es/actualidad/sociedad–y–consumo/las–10–realidades–del–consumidor–socialmente–responsable–2016–05–25

Honrubia, Pedro. 2014. “La publicidad comercial como propaganda de la ideología consumista/ capitalista”. Consulta: abril de 2018. http://www.especieenpeligro.net/index.php/consumismo/2133–la–publicidad–comercial–como–propaganda–de–la–ideologia–consumista–capitalista–final

Jiménez, Juan Carlos. 2008. “Definición de los valores: el valor de los valores”. Consulta: abril de 2018. http://elvalordelosvalores.com/definicion–de–los–valores/

Latorre, Juan Ignacio. 2018. “Economía social y solidaria”. Consulta: abril de 2018. http://www.uahurtado.cl/fernando–vives–sj/economia–social–y–solidaria/

López, Germán. 2010. “Las conexiones ocultas de Fritjof Capra: momento cumbre de su programa de investigación y la socialización del paradigma ecológico”. Eumed.Net. Colombia. Consulta: abril de 2018. http://www.eumed.net/librosgratis/2010e/831/GENERALIDADES%20DEL%20PARADIGMA%20ECOLOGICO.htm

López-Zuriaga, Consuelo. 2014. “La desigualdad social aumenta en todo el mundo”. Consulta: abril de 2018. http://www.elmundo.es/solidaridad/2014/07/17/53c74f45e2704e7b038b456b.html

Lucerga, María José. 2010. “El papel de la publicidad en el nuevo capitalismo globalizado”. Consulta: abril de 2018. https://antigua.solidaridad.net/noticia/668/el–papel–de–la–publicidad–en–el–nuevo–capitalismo–globalizado

Montero, Francisco. 2002. “Marketing vs. ideología”. Razón y Palabra, No. 29: 30-41.

Morales José, y otros. 1999. Psicología Social. Madrid: McGraw-Hill.

Moulines, Carlos Ulises. 1979. La génesis del positivismo en su contexto científico. Barcelona: Geo Crítica.

Palafox, Carlos, Dulce Elizalde y Joel Espejel. 2015. Comportamiento del consumidor socialmente responsable en Sonora. Ciudad de México: Universidad de Sonora.

Panesso, Fernando. 2009. “El consumo de la ideología consumista”. Tendencias 10, No. 1: 63-70.

Pérez, Paula. 2016. “El consumo responsable y la trasformación social”. El País. 14 de abril de 2016.

Rivero, Antonio. 2018. “Actitudes y valores en la vida”. Consulta: abril de 2018. Catholic.net. http://es.catholic.net/op/articulos/43333/actitudes–y–valores–en–la–vida.html#modal

Rizzardini, Marco. 1997. “La insostenible materialidad de la ideología: consumismo y modelo publicitario”. África América Latina, cuadernos: revista de análisis sur-norte para una cooperación solidaria, No. 26: 117-140.

Rueda Sampedro, Inés, Ana Fernández-Laviada y Ángel Herrero Crespo. 2013. “Aplicación de la teoría de la acción razonada al ámbito emprendedor en un contexto universitario”. Investigaciones Regionales, No. 26: 141-158.

Sampedro, Marcos. 2005. “Factores determinantes del consumo ético”. Documento de trabajo. Consulta: abril de 2018. http://consumoetico.webs.uvigo.es/textos/archivos_pdf/consumoetico.pdf

Schmalko, Nelly. 2016. “La economía social solidaria y popular objetivo y camino hacia otra economía”. Documento de trabajo. Proyecto CREES, Universidad Nacional de Quilmes. http://docplayer.es/48100009–La–economia–social–solidaria–y–popular–objetivo–y–camino–hacia–otra–economia–mg–nelly–schmalko–proyecto–crees–universidad–nacional–de–quilmes.html

Sida-Aids.Org. 2006. “Modelo de la acción razonada. Psicología y SIDA: modelos psicológicos de la salud”. Consulta: febrero de 2018. http://www.sida–aids.org/psicologia–sida/29–modelos–de–salud/5–modelo–accion–ra.html